Senin, 04 November 2019

The Millennials Americans Born 1977 To 1994 Google Drive

Start studying marketing midterm 3. Millennials also known as generation y or the net generation are the demographic cohort that directly follows generation x.

What Are Some Harsh Truths That Millennials Need To Realize - What Are Some Harsh Truths That Millennials Need To Realize

Learn vocabulary terms and more with flashcards games and other study tools.

The millennials americans born 1977 to 1994

The Millennials Americans Born 1977 To 1994 Google Drive. Millennials also known as generation y or simply gen y are the demographic cohort following generation x and preceding generation zresearchers and popular media use the early 1980s as starting birth years and the mid 1990s to early 2000s as ending birth years with 1981 to 1996 a widely accepted definition. La generación y también conocida como generación del milenio o milénica 1 2 3 del inglés millennial generation es la cohorte demográfica que sigue a la generación x y precede a la generación zno hay precisión o consenso respecto a las fechas de inicio y fin de esta generación. They are playing fewer rounds and even watching it on tv less frequently the guardian reported in 2016.

Millennials are widely thought to be less loyal to their employers than their older colleagues. The precise delineation varies from one source to another. Milenial juga dikenal sebagai generasi y gen y atau generasi langgas adalah kelompok demografi setelah generasi x gen x.

Generation x or gen x is the demographic cohort following the baby boomers and preceding the millennialsdemographers and researchers typically use birth years ranging from the early to mid 1960s to the early 1980s with 1965 to 1980 a widely accepted definition. Tidak ada batas waktu yang pasti untuk awal dan akhir dari kelompok ini. Start studying chapter 3 marketing.

37 of millennials say they are willing to purchase a product or service to support a cause they believe in even if it means paying a bit more. The term millennials is usually considered to apply to individuals who reached adulthood around the turn of the 21st century. Another sport millennials have been blamed for doing away with is golf.

Los demógrafos e investigadores suelen utilizar los primeros años de la década de 1980. Para ahli dan peneliti biasanya menggunakan awal 1980 an sebagai awal kelahiran kelompok ini dan pertengahan tahun 1990 an hingga awal 2000 an sebagai akhir kelahiran. Learn vocabulary terms and more with flashcards games and other study tools.

But numbers indicate a new understanding of millennials and generational differences is necessary against the backdrop of prevailing economic conditions.

E Cigarettes Spark Interest Among Millennials - E Cigarettes Spark Interest Among Millennials

Millennials Americans Born From 1977 To Population - Millennials Americans Born From 1977 To Population

The Millennials The American Generations Series Americans Born 1977 To 1994 Edition 2hardcover - The Millennials The American Generations Series Americans Born 1977 To 1994 Edition 2hardcover

Generation Y The Millennials Millennials Race And - Generation Y The Millennials Millennials Race And

New Guidelines Redefine Birth Years For Millennials Gen X - New Guidelines Redefine Birth Years For Millennials Gen X

Xennials Are A New Generation Born Between 1977 And 1983 - Xennials Are A New Generation Born Between 1977 And 1983

Food Drink Generational Trends Mustard Research - Food Drink Generational Trends Mustard Research

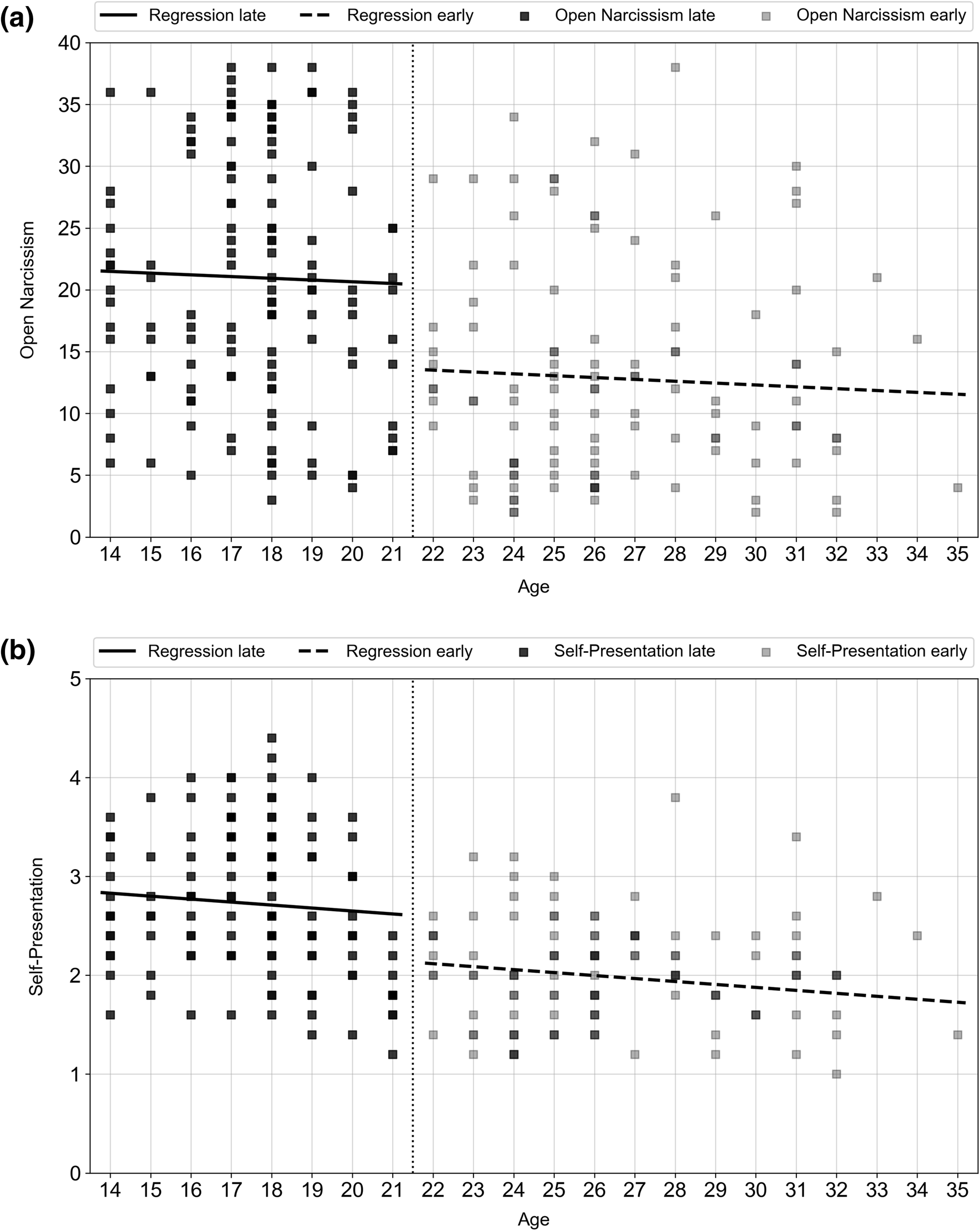
The Narcissistic Millennial Generation A Study Of - The Narcissistic Millennial Generation A Study Of

Understanding Millennials And Generational Differences - Understanding Millennials And Generational Differences

Nika Fate Dixon Are Some Millennials Rethinking The Gender - Nika Fate Dixon Are Some Millennials Rethinking The Gender

Housing Starts Rise To Decade High In 2017 But Shortages - Housing Starts Rise To Decade High In 2017 But Shortages

The Millennials Americans Born 1977 To 1994 American - The Millennials Americans Born 1977 To 1994 American

Stop Calling Teenagers Millennials Vox - Stop Calling Teenagers Millennials Vox

The Millennials Americans Born 1977 To 1994 Business - The Millennials Americans Born 1977 To 1994 Business

Necs European Network For Cinema And Media Studies - Necs European Network For Cinema And Media Studies

The Millennials Americans Born 1977 To 1994 On Hulu

The Millennials Americans Born 1977 To 1994 Google Drive
4/ 5
Oleh